热传递三大路径:传导、对流、辐射
发布时间:2020-05-06 09:51来源: 未知热传递三大基本路径:传导、对流、辐射。(另外有人提出了量子涨落传热理论,后续再探讨)。
传导:
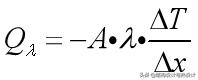
物体各部分不发生相对位移时,依靠分子、原子、自由电子等微观粒子的热运动而产生的热传递称为热传导。传热公式如下:
由公式可知,热量传导的多少是由垂直于传导方向的截面积大小,材料的导热率,温度差,传导路径长度决定的。所有增大接触面积,更换导热率高的基体材料,降低传热热阻等方式是提高传热效率的有效手段。
对流
对流是由于流体分子之间发生相对位移,依靠冷热流体相互掺混和移动所引起的热量传递方式。1701年牛顿提出了对流散热公式,称为牛顿换热定律:
由公式可知:对流换热的热量取决于对流换热的面积大小,对流换热系数大小以及温度差值。工程应用上增大对流换热量的方式主要是增大风量,安装散热翅片,降低进风温度等方式。
辐射
热辐射是指热量以电磁波的形式传递,可以在真空中传递而不需要介质。当热辐射达到一个表面时,会出现吸收、反射和透过三种效应,辐射散热公式如下:
由公式可知,辐射换热量与辐射面积,表面发射率有关系。工程应用的主要方式有增大表面积,表面阳极氧化或喷漆等方式。
